Research Publications

Validation Studies

Clinic-based testing validated against existing & competing technologies

The Produces almost equivalent outcomes as Humphrey Field Analyzer (gold standard, HFA)

Intraclass correlations: MD = 0.93, PD = 0.86.

Kong et al TVST 2016

Tiang et al Frontiers Ophthalmol 2025.

High degree of repeatability

VitaNext more repeatable than HFA SITA-Fast & similar to HFA SITA-Standard (over 6 month period).

Prea et al Am J Ophthalmol. 2018

Better than competitors

Scored highest in ease of use & testing speed in user experience rating compared against VR goggles and Eyeonic online perimeter.

Cheng, Jain et al. Optometry Connection 2024.

30-2 and 10-2 algorithms produce outcomes comparable to Humphrey Field Analyzer SITA-Standard

Over 170 patients tested. Strong Test-retest repeatability ICC =0.99

Sugihara et al TVST Under review

Sugihara et al Journal of Glaucoma Under review

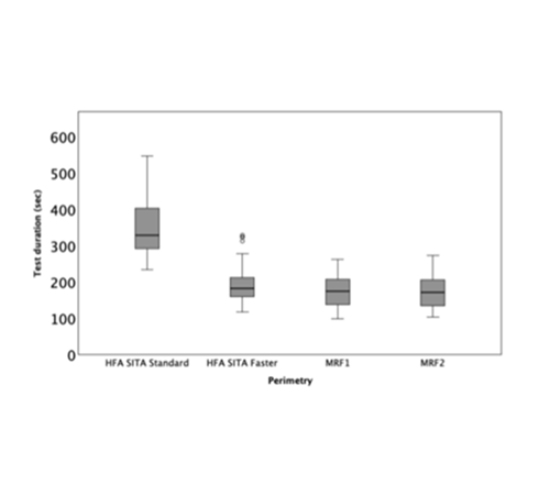
24-2 Rapid Protocol ~50% faster than SITA-Standard, equivalent to SITA-Faster

Over 119 patients tested. HFA-SITA standard vs 24-2 Rapid MD ICC=0.96

Sugihara et al Under review

Multi-language support

High performance of MRF compared to HFA in Hindi & Chinese speaking populations.

97% agree with ease of use and 61% would consider using MRF at home

Bhartiya et al. Under Review

Cheng et al TVST Under Review

Validation Studies

First large-scale home monitoring trials for glaucoma and AMD made possible with the software, both published in the American Journal of Ophthalmology.

Glaucoma home study with 101 participants

  • VitaNext performed at home gives similar outcomes to HFA test in clinic (R = 0.85).
  • Variability of repeated testing is lower for the MRF (4.3) than HFA. (6.2)

Prea et al. Am J Ophthal 2021

AMD home study with 73 participants with AMD

  • 96% give reliable results
  • Reliability of repeated testing is better for VitaNext (1.8) than for Gold standard MaiAmicroperimetry (4.3)

Prea et al. Am J Ophthal 2022

Social Impact Studies​

Results of MRF almost equivalent to HFA

Strong association for Mean deviation (r = 0.84; P < 0.001) and moderate association for Pattern Deviation (r = 0.61; P < 0.001) between MRF and HFA in patients with glaucoma.

Prince J, Thompson A, Mwanza JC, Tolleson-Rinehart S, Budenz DL. Glaucoma Screening Using an iPad-Based Visual Field Test in a West African Population. Ophthalmol Glaucoma. May-Jun 2022;5(3):275-283. doi:10.1016/j.ogla.2021.09.002

MRF SCREENING PROTOCOL HAS HIGH DIAGNOSTIC ACCURACY

In detection of mild and moderate field defects (Area Under ROC of 0.81 and 0.87, respectively).​

Chia MA, Trang E, Agar A, et al. Screening for Glaucomatous Visual Field Defects in Rural Australia with an iPad. J Curr Glaucoma Pract. 2021;15(3):125-131.

Research Publications on Rapid Online Vision System

Multi-centre comparison between device-independent web-browser perimetry (Melbourne Rapid Fields-web) and SITA-Faster for glaucoma

Joyce Tiang, Algis J. Vingrys,Sarah Lin, Selwyn M. Prea, Adam Ahmed Moktar, Allan Bank, Ashish Agar, Yu Xiang George Kong
Front. Ophthalmol. , 06 February 2025

https://www.frontiersin.org/journals/ophthalmology/articles/10.3389/fopht.2025.1485950/full

Comparative Analysis of Melbourne Rapid Fields Web-Browser Perimeter and Humphrey Field Analyzer in Chinese Glaucoma Patients

De-Fu Chen; Wenzhe Zhou; Xiaonan Lu; Tao Wang; Chenmin Wang; Yaoyao Wang; Yu Xiang George Kong; Algis J. Vingrys; Cong Ye; Yuanbo Liang
Translation Vision Science and Technology TVST. 2025;

https://tvst.arvojournals.org/article.aspx?articleid=2810437

Persistent visual impairments following mild-to-moderate ischemic stroke

Wijesundera C, Crewther SG, Wijeratne T, Vingrys AJ.
Front Ophthalmology. 2025; Volume 5 � 2025, https://doi.org/10.3389/fopht.2025.1505836

https://www.frontiersin.org/journals/ophthalmology/articles/10.3389/fopht.2025.1505836/full

Acceptance of innovative perimetry methods in Germany Virtual reality spectacle perimetry and tablet-based perimetry in glaucoma patients (German)

Silvia Andreea Schrittenlocher , Vincent Lke , Hanne Irle , Jithmi Weliwitage , Jan Niklas Lke , George Kong , Algis J. Vingrys , Alexandra Lappas , Claus Cursiefen , Thomas S Dietlein
Klin Monbl Augenheilkd (Klin Monbl Ophthalmology). 07 January 2025

https://www.thieme-connect.de/products/ejournals/abstract/10.1055/a-2511-4087

Test Reliability and Compliance to a Twelve-Month Visual Field Telemedicine Study in Glaucoma Patients.

Prea SM, Vingrys AJ, Kong YXG.
J Clin Med . 2022 Jul 25;11(15):4317.

https://pubmed.ncbi.nlm.nih.gov/35893408/

Comparison of Perimetric Outcomes from a Tablet Perimeter, Smart Visual Function Analyzer, and Humphrey Field Analyzer

Joyce Kang, BA Sofia De Arrigunaga, MD, MPH Sandra E. Freeman, BA Yan Zhao, MS Michael Lin, MD Daniel L. Liebman, MD Ana M. Roldan, MD Julia A. Kim, BS Dolly S. Chang, MD, PhD David S. Friedman, MD, PhD Tobias Elze, PhD
Ophthalmology Glaucoma 2023

https://www.ophthalmologyglaucoma.org/article/S2589-4196(23)00059-5/fulltext

Measuring Visual Fields in Children With Glaucoma Using a Portable Tablet

Viney Gupta; George X. Y. Kong; Abhishek Singh; Arnav Panigrahi; Shikha Gupta; Selwyn Prea; Algis J. Vingrys
Translational Vision Science & Technology May 2024, Vol.13, 10.

https://tvst.arvojournals.org/article.aspx?articleid=2793661

Evaluation of the Melbourne Rapid Fields Test Procedure.

Paul Alan Harris, Chris A Johnson, Yuan Chen , Hannah Fann , Gabrielle Gafford, Ye Ji Kim, Ellilta D Mezgebu
Optom Vis Sci. 2022 Apr 1;99(4):372-382.

https://pubmed.ncbi.nlm.nih.gov/35383736/

Uptake, persistence, and performance of weekly home monitoring of visual field in a large cohort of patients with glaucoma.

Prea SM, Kong YXG, Guymer R, Vingrys AJ.
American Journal of Ophthalmology Nov 2020

https://www.sciencedirect.com/science/article/pii/S0002939420306280

The short-term compliance and concordance to in clinic testing for tablet-based home monitoring in age-related macular degeneration.

Prea SM, Kong YXG, Guymer R, Sharangan P, Baglin E, Vingrys AJ.
American Journal of Ophthalmology Sep 2021

https://www.ajo.com/article/S0002-9394(21)00442-6/fulltext

A Comparison of Perimetric Results from a Tablet Perimeter and Humphrey Field Analyzer in Glaucoma Patients

Yu Xiang George Kong; Mingguang He; Jonathan G. Crowston; Algis J. Vingrys
Translational Vision Science & Technology. November 2016, Vol.5, 2.

https://tvst.arvojournals.org/article.aspx?articleid=2580184

Can Home Monitoring Allow Earlier Detection of Rapid Visual Field Progression in Glaucoma?

Anderson AJ, Bedggood PA, George Kong YX, Martin KR, Vingrys AJ.
Ophthalmology 2017

https://linkinghub.elsevier.com/retrieve/pii/S0161-6420(17)30896-5

Six-month longitudinal comparison of a portable tablet perimeter with the Humphrey Field Analyser.

Prea SM, Kong YXG, Mehta A, He M, Crowston JG, Gupta V, Martin KR, Vingrys AJ
Am J Ophthalmol. 2018 Mar 14.

https://www.ncbi.nlm.nih.gov/pubmed/29550190

Participant Experience Using Novel Perimetry Tests to Monitor Glaucoma Progression.

Freeman SE, De Arrigunaga S, Kang J, Zhao Y, Roldn AM, Lin MM, Elze T, Liebman D, Chang DS, Friedman DS.
J Glaucoma. 2023 Nov 1;32(11):948-953.

https://pubmed.ncbi.nlm.nih.gov/37671465/

Screening for Glaucomatous Visual Field Defects in Rural Australia with an iPad

Chia MA, Trang E, Agar A, Vingrys AJ, Hepschke J, Kong GY, Turner AW.
J Curr Glaucoma Pract. 2021 Sep-Dec;15(3):125-131.

https://pmc.ncbi.nlm.nih.gov/articles/PMC8807937/

Performance of a Smart Device over 12-Months for Home Monitoring of Patients with Intermediate Age-Related Macular Degeneration

Prea S, Guymer R, Kong G, Vingrys A.
J Clin Med. 2023 Mar 27;12(7):2530.

https://pmc.ncbi.nlm.nih.gov/articles/PMC10095505/

Glaucoma Screening using an ipad-based visual field test in a West African population.

Prince J, Thompson A, Mwanza J, Tolleson-Reinehard S, Bedenz DL
Ophthalmology Glaucoma

https://www.ophthalmologyglaucoma.org/article/S2589-4196(21)00206-4/fulltext

Comparison of Perimetric Outcomes from Melbourne Rapid Fields Tablet Perimeter Software and Humphrey Field Analyzer in Glaucoma Patients.

Kumar H, Thulasidas M.
Journal of Ophthalmology

https://www.ncbi.nlm.nih.gov/pmc/articles/PMC7463344/

Scaling the size of perimetric stimuli reduces variability and returns constant thresholds across the visual field.

Bedggood P, Prea SM, Kong YXG, Vingrys AJ.
Journal of Vision 21(11):2

https://jov.arvojournals.org/article.aspx?articleid=2777966

Visual field testing in the era of portable consumer technology

Kong YXG
Clinical and Experimental Ophthalmology 2018 Jun 12.

https://onlinelibrary.wiley.com/doi/abs/10.1111/ceo.13308

Performance of iPad-based threshold perimetry in glaucoma and controls

Angela M Schulz PhD, Elizabeth C Graham BMus, YuYi You PhD, Alexander Klistorner MD PhD, Stuart L Graham FRANZCO PhD
Clinical & Experimental Ophthalmology 2017

https://onlinelibrary.wiley.com/doi/10.1111/ceo.13082/full

Validation of a Tablet as a Tangent Perimeter

Algis J. Vingrys; Jessica K. Healey; Sheryl Liew; Veera Saharinen; Michael Tran; William Wu; George Y. X. Kong
Translational Vision Science & Technology July 2016, Vol.5, 3.

https://tvst.arvojournals.org/article.aspx?articleid=2534339

Tablets at the Bedside: iPad-based Visual Field Test used in the diagnosis of Intrasellar Haemangiopericytoma

Nisha Nesaratnam, Peter Thomas, R Kirollos, Algis J Vingrys, Yu Xiang George Kong, Keith R Martin.
BMC Ophthalmology 2017

https://bmcophthalmol.biomedcentral.com/articles/10.1186/s12886-017-0445-z

Acquired Visual Deficits Independent of Lesion Site in Acute Stroke

Chamini Wijesundera, Algis J. Vingrys, Tissa Wijeratne and Sheila G. Crewther
Front. Neurol., 17 July 2020

https://www.frontiersin.org/articles/10.3389/fneur.2020.00705/full

Vision Testing Essential to Stroke Evaluation, Study Finds

Vision Testing Essential to Stroke Evaluation, Study Finds
Chamini Wijesundera, Algis J. Vingrys, Tissa Wijeratne and Sheila G. Crewther
Minews: Issue 184, Nov 22.

https://mivision.com.au/2022/11/vision-testing-essential-to-stroke-evaluation-study-finds/

Our Awards

Gerard Crock Trophy for Best Paper presentation at Royal Australian and New Zealand College of Ophthalmologists Congress 2022
Nominated and awarded as a 'HOT topic' at ARVO (Association for Research in Vision and Ophthalmology) in 2016 and 2018. This nomination is ONLY made to the top 2% (>10000) of submissions to ARVO.
Nov 2017 - Melbourne Academic Health Care (MACH) translation - $20,000 FIRST prize for startup development.
Feb 2017 Awarded Prize for Translational Development of a novel vision test at the Asia-ARVO meeting, Brisbane.
2016 Finalist in the MedTech Got Talent technology competition (Vic Government, Nov 2016).
AMP Tomorrow Maker Award 2015.

universtitymel

52

54

australianvision

lions

66

65

64

62

60

59

58

57

56

55